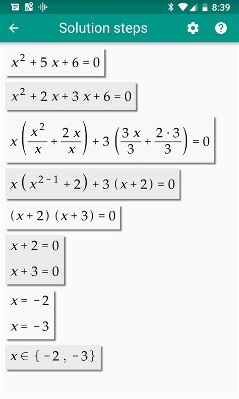
Anthony Nichols Blog